割る数が小数の場合 まずは、割る数が整数になるよう10倍、100倍をして 小数点の位置を動かしていきましょう。 このとき、割られる数にある小数点も同じだけ位置を動かします。 今回の問題であれば、 割る数の\(45\)は10倍(小数点を右に1つ)すればokです。この筆算は割る数がx+2、割られる数がx 2 5x8ですね。 筆算を用いると次のように計算できるんです。小学校で習う割り算の筆算では割る数、割られる数に 0が連続する場合のみ簡単化したが、一般には最大公約数(gcd) でそれぞれ割っておいて、筆算をすすめ、最後にあまりのみ gcd倍すればよいことがわかる。 100 2100 3 21 6810 300 7 2270 (gcd) ÷100 ÷3 商は2270÷7
文字を含む割り算の筆算についてですが 割る数割られる数に同じ数をかけて変形さ Yahoo 知恵袋
割る数 割られる数 筆算
割る数 割られる数 筆算-About Press Copyright Contact us Creators Advertise Developers Terms Privacy Policy & Safety How works Test new features Press Copyright Contact us Creators 割り算の難しさとして考えられるのは次の2点です。 ・筆算の形式が今までと異なる。 ・足し算・引き算・かけ算の全てが計算に絡む。 とはいえ、この2点は慣れの問題です。 くり返し練習すれば、ほとんどの小学生はできるようになります。 一方、次の点は見落とされがちですが、多くの生徒たちのつまずきポイントとなっています。 ・商を決定でき



2桁で割る割り算の習得方法 小 中学生向け補習塾 算数 数学 国語 ほめるん By じりつ堂
割る数が小数の場合 先に説明しておきますが, A ÷ B という割り算ではAを「割られる数」,Bを「割る数」と言います.ここでは「割る数」が小数の場合の余りの計算の仕方を確認しておきましょう.割る数、割られる数は共に自然数のみ対応しております。 割られる数 割る数 ÷ = 商: 余り: \) お客様の声 アンケート投稿 よくある質問 リンク方法 余り計算 110 /42件 表示件数 1 1322 歳未満 / 小・中学生 / 非常に役に立った / 使用目的 ユークリッドの互除法のため 2割られる数 割る数 商 余り 割る数!余り いかかでしたか?基本的に数の筆算と同じ方法ですね。 再度, 『上から下を引き算』 に注意してください。 数学Ⅱ 第 章 式と証明整式の割り算1r 2
「割られる数52」と、「割る数41」として式をくみます。 商には1がきますね。 「5241×1」を計算すると、11になりますね。 4を筆算 中で下ろして、「1104=114」となります。 更にわり算をしましょう。 「114÷41」を計算します。 「41×2=」となります。 「114−=32」ですね。 余りの求め これをおさえると、授業の時にも 先生「わられる数はどっちだった? 」 子ども「ももー! 」 と、答えがサッと返ってきます。 ご意見頂けたら幸いです。 3年算数「わり算」導入指導実践報告 3年算数「あまりのあるわり算」第1時 指導実践報告No242 No242の準備 (小4学習分・割られる数のみ小数) 25問 問 10問 5問 (筆算) 問 10問 5問 (小5学習分・割る数に小数有り)
無料ダウンロード・印刷できる小学5年生の算数・小数のプリント。 割りきれる小数どうしの割り算(筆算)の問題です。 割る数と割られる数、商の小数点を移動して、筆算の答えを求める練習を繰り返し行うことができます。 小数どうしの割りきれる割り算(1) 答え 小数どうしの割りきれる割り算(2) 答え 小数どうしの割りきれる割り算(3) 答え 割る数、割られる数の両方を「100倍」して筆算してください。 つまり ÷ 135 です。 「割られる数 × 100」÷「割る数 × 100」 =(「割られる数」÷「割る数」)× (100 ÷ 100) = 「割られる数」÷「割る数」× 1 = 「割られる数」÷「割る数」 なので同じ答えになります。 1;割り算の筆算は、立てる → かける → 引く → おろす の 4 つのステップを繰り返すことで計算できます。このページでは、割り算の筆算のやり方を分かりやすく説明しています。割る数が 1 桁の場合と 2 桁の場合それぞれの具体的な計算例も示しています。



2



わりざんの計算方法 小数の計算 もう一度やり直しの算数 数学
少数同士の引き算(筆算)• そろばんに割られる数を置きます そろばんに割られる数である60,984を置きます• 分数の足し算・引き算(分母同じ)• 割る数(a)を何倍かして、割られる数の一番左(b)に近い数字になる• 筆算(大きい数)• 二桁同士のかけ算(筆算)• が、な ①1÷3=0あまり1 ②3÷5=0あまり3 ①割る数(3)より、割られる数(1)が小さい場合は答えは0になり、あまりは割られる数(1)になります。 ②割る数(5)より、割られる数(3)が小さい場合は答えは0になり、あまりは割られる数(3)になります。 分数、少数で答えるのに慣れちゃうと、戸惑いますが、そういう原則です。 ご参考までに(^_^)割り算の筆算 バグの発見はBBS、TOPページ下部の連絡帳、メールなどでいつでも歓迎です! 現役の小学生の方は、自分でやってみてからお使い下さいませ! 尚、割る数が小数のとき、余り付きの計算は使えません。 余り付き計算 小数点以下桁数 abc 使い方 割られる数と割る数を入力して=をクリックすると、計算の過程と供に答えも分かります(の、はずです



掛け算の順序をめぐって 5月 19



文字を含む割り算の筆算についてですが 割る数割られる数に同じ数をかけて変形さ Yahoo 知恵袋
割る数を見つける 割られる数ではなく、それを割る数を見分けられるようになりましょう。225 ÷ 152 という問題であれば、「152」が割る数です。筆算の記号を用いて書かれている時は、この記号の左側の数が割る数となります。割り算の筆算 296 「割られる数」が「割る数」より大きくなったら、掛け算を 利用して「割られる数」に「割る数」がいくつあるか計算す る。簡単な掛け算で予想できるように29≒30として、30× 2=60だからだいたい2と予想し、その近辺の計算もして、わる数を整数に直すことがポイントです。 わる数もわられる数も10倍してから筆算します。 最後に商の小数点が割られる数と同じ位置にあることを確認させます。 またマス目のノートに書いて、筆算のしかたを確かめさせると間違いが少なくなります。



割り算のきまり くじびきゲーム 授業がんばりmath



小4 小数の割り算の筆算のやり方は あまりと答えの小数点は位置が違う 小5 そうちゃ式 分かりやすい図解算数 別館
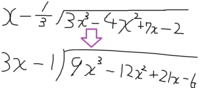
割る数が1だった場合の割られる数を出す これが割り算の本当の意味です。 例えば、5mで50㎏の棒について、次の2つの計算をしてみます。 この式ではmが割る数になっているので、1mで10㎏であることが分かります。今回割る数はx3、割られる数は2x 2 5x7ですね。 筆算をすると、次のようになります。 手順1 割る数の先頭の項はx、割られる数の先頭の項は2x 2 です。 xを2x倍すれば、先頭の項が2x 2 でそろいますね。 すると(x3)×2xで2x 26xとなります。 割られる数2x 2 5x7から引くと残るのは11x7です掲示板の使い方 投稿者 小4です (IDrvgjJC0fjsc) 投稿日時:06年 12月 28日 1949 小4です。 文章題で割る数と割られる数を逆にして計算し答えを間違えます。 例えば 「4.3mのロープの重さは、3.44kgです。 1mでは何kgですか? 」という問題。 正解は3.44÷4.3なのですが、4.3÷3.44と式をたてます。



わりざんの計算方法 小数の計算 もう一度やり直しの算数 数学



わられる数 わる数 商 あまり という言葉は覚えておこう
(小4学習分・割られる数にのみ小数) 25問 問 10問 (小5学習分・割る数に小数有り) 25問 問 10問;割る数が割られる数の百の位の数より大きいとき 割られる数が百の位までの筆算 一億より大きい数 小3 余りのある割り算 一万より大きい数 3桁の数の足し算と引き算 4桁の数の足し算 割り算とは 九九で答えを見つけられないときの割り算 小2 3割られる数と割る数を,どちら も10倍して計算する方法だっ たら,どんなときでもできそう だと思います。 なるほど。小数点を移動すると, 今まで習った小数÷整数で筆算 することができるね。 私は,割る数を整数にするため に,割る数と割られる数をどち



掛け算の順序をめぐって 5月 19



掛け算の順序をめぐって 5月 19
この問題について筆算で解いていきましょう。 割られる数の一番左の数字「4」と割る数「4」なので、「4×1=4」となり、一番上には「1」を書きます。 そして割られる数の一番左側の数字「4」の下に「4」を書きます。 「44=0」ですが、0は書かなくても構いません。 (筆者作成) 次の「3」を下ろします。 「3」は割る数「4」よりも小さく、倍にでき ~割り算の特性~ ①割り算っていうのは 割られる数 と 割る数 を同じ数字で かけたり割ったりしても答えは同じなので簡単にします ②割り算の答え=割られる数(分子)/割る数(分母) まず①の性質を使います ÷284 →÷2→ 44÷142 →÷2→ 22÷71 となります たぶん割り切れないはずなので ②の性質を使い分数で答えます つまり答えは 22(分子)/71(分母) になるはず 6÷3=2 ですが、割る数と割られる数を10倍して 60÷30=2 で同じになりますよね。 小数で割る時は整数にすると楽なので、実際筆算で計算する時も 小数点の位置を右にずらし、そのずらす桁数分、割られる方も右にずらします。



小4 小数の割り算の筆算のやり方は あまりと答えの小数点は位置が違う 小5 そうちゃ式 分かりやすい図解算数 別館



記事 詳細情報 19年 10月 7日 月曜日 4年 4年 どちらにも同じ数を掛けると 4年3組の算数の授業です 割る数 割られる数 どちらに同じ数を掛けても商は変わらない これを確かめてみるために問題を解きます なるほど確かに たくさんの
割り算は、わられる数とわる数に同じ数を掛ければ、答えは変わらない 式を使って分かりやすく説明すると、 割られる数の6に10かけて60、割る数の2に10かけて 両方に同じ数かければ、答えは変わらないのです。 小数点を動かすのは、両方を10倍しているから これを計算する時、小数がある最低限覚えること A ÷ B という形では、Aが割られる数、Bが割る数です。 割る数に小数点があるときは、10倍・100倍して割る数の小数点をなくしてから割り算します。 10倍・100倍にするときは、AもB両方倍にします。 商 (割り算の答え)の小数点は、割られる数と同じ位置につけます。 642 ÷ 02 割る数が小数なので、10倍して 642 ÷ 2 にして計算する。 321 2) 642 64 2 0 15 = 7 × 2 1 このように割られる数である 15 は 割る数 と 商 と あまり でかけます。 言葉で書くとこんな感じ。 割られる数 = 商 × 割る数 あまり ですので整式でもこれは必ず成り立つはずです。 その前に、これから私たちは整式のことを P ( x) と表し



割り算の筆算の方法 大人の学び直し算数 計算のやり方解説 無料



小数同士の割り算はどう解けばいい よくつまづくポイントも解説 Cocoiro ココイロ Part 2
まずは、"56÷24"を計算して、割られる数の"6"の上に数字を書きます。 このとき、上記の①と②に具体的な数値を当てはめます。 割る数の最上位の数字→2① 割られる数の上位1桁→5② "(①の2)×2≒(②の5)"なので、"6"の上には"2"と書きます。 このとき、"(①の2)×3"としないでください。 計算した結果が、(②の5)より大きく割り算の筆算の計算手順 割り算の筆算の手順は以下の通り。 外側の数字(割る数)で内側の数字(割られる数)の左の数字から割り算を行う ・・・4÷ 3 4 ÷ 3 あまりの数と割られる数の一つ右の数字を下に書き下す ・・・12 12 ②の数字を外側の数字で割る ・・・12÷ 3 12 ÷ 3 このように 割られる数を上の位から順番に割っていく のが筆算の仕組みです。 掛け算のまず、割り算の筆算では、割る数(=3)と割られる数(=72)を次のように書きます。 割る数と割られる数の書き方 計算の 手順 ( てじゅん ) はこのあと 示 ( しめ ) すので、 最終的 ( さいしゅうてき ) な筆算の 結果 ( けっか ) を見てみましょう。



小数同士の割り算のやり方 大人の学び直し算数 計算のやり方解説 無料



小4の算数です 答えを教えて下さい 945 8の計算まちがい Yahoo 知恵袋



掛け算の順序をめぐって 何の段の九九



割り算の筆算ってどっちが割る数でどっちが割られる数ですか 例8 0 4 Yahoo 知恵袋



Search Q 8f 8b E6 95 B0 8f 8c 8b E6 95 B0 Tbm Isch



算数でプログラミング教育 スクラッチで2桁の割り算の筆算



5 34 6を筆算するとき 割られる数を100倍にして整数に直して Yahoo 知恵袋



小学算数 構造的板書 の工夫とコツ 小数のわり算 かけ算 みんなの教育技術



割り算の筆算のやり方



割り算の筆算の方法 大人の学び直し算数 計算のやり方解説 無料



わる数と商の関係 Youtube



Http Www Takuichi Net Hobby Edu Arithmetic Division Division On Paper Gcd Pdf



割り算の筆算 割る数と割られる数から効率的に商を決定するコツ みみずく戦略室



わり算の筆算 4年生の自主学習ノート 家庭学習レシピ



小数のわり算 筆算 小数どうしの割りきれる割り算 問題プリント ちびむすドリル 小学生



すきるまドリル 小学4年生 算数 わり算の筆算2 無料学習プリント すきるまドリル 無料学習プリント



仮商の修正 授業がんばりmath



2



小学生の算数 わり算 練習問題プリント 無料ダウンロード 印刷 ちびむすドリル 小学生



割り算の筆算のやり方



割り算の筆算の方法 大人の学び直し算数 計算のやり方解説 無料



割り算の筆算の計算手順 筆算の仕組みを子どもに教える方法を紹介 数学fun



小数のわり算 筆算 小数どうしの割りきれる割り算 問題プリント ちびむすドリル 小学生



割り算を教える



Mwk



小4算数 割り算の筆算が苦手な人必見 割り算がカンタンに 割り算 うっくんの雑学blog



掛け算の順序をめぐって 何の段の九九



小3 算数 小3 6 わり算 Youtube



Minecraftで計算機をつくってみたい その20 除算 サークル出雲



小学5年生 算数 無料問題集 割り算の商と分数 おかわりドリル



2桁で割る割り算の習得方法 小 中学生向け補習塾 算数 数学 国語 ほめるん By じりつ堂



6月6日 小4算数 進学教室one ブログ 旧



小数のわり算 小学4 5年生算数 無料学習プリント



わりざんの計算方法 小数の計算 もう一度やり直しの算数 数学



小学4年生の算数 筆算 割り算 割り算の決まり 練習問題プリント ちびむすドリル 小学生



3年算数 わり算 わられる数 わる数ってどっち 指導実践 ネコ好きな学校の先生の日常



割り算の筆算のやり方



掛け算の順序をめぐって 5月 19



小数点の割り算 筆算のやり方は あまりが出る場合などもイチから解説 数スタ



小数の割り算の筆算 教え方 やり方 なぜ小数を動かすのか 小岩 個別指導 元小学校教師が教える個別指導塾 できる子ども育成塾 小岩 篠崎の小学生専門 国語と算数の苦手を克服



4年算数 筆算 2時間目 Totoroの小道



算数でプログラミング教育 スクラッチで2桁の割り算の筆算



割り算の割られる数と割る数の決め方を教えてください いつも反対に計算し Yahoo 知恵袋



わり算の筆算



割り算の筆算のやり方



授業改善05



算数でプログラミング教育 スクラッチで2桁の割り算の筆算



割り算の筆算の方法 大人の学び直し算数 計算のやり方解説 無料



割り算の筆算のやり方



小4 小数の割り算の筆算のやり方は あまりと答えの小数点は位置が違う 小5 そうちゃ式 分かりやすい図解算数 割り算の筆算 割り算 小学校 算数



小4 小数の割り算の筆算のやり方は あまりと答えの小数点は位置が違う 小5 そうちゃ式 分かりやすい図解算数 別館



小さい数を大きい数で割る割り算が分かりません 10 7 12 1とか小数点 Yahoo 知恵袋



数ii 整式の割算 割る数 割られる数 Youtube



5年算数 小数 小数 わかる教え方



割り算の筆算 割る数と割られる数から効率的に商を決定するコツ ページ 2 みみずく戦略室



わりざんの計算方法 小数の計算 もう一度やり直しの算数 数学



整式を商 あまりで表現する 高校数学の知識庫



割り算の筆算の計算手順 筆算の仕組みを子どもに教える方法を紹介 数学fun



筆算で割り算をする場合のやり方を忘れてしまいました どなたかご教授おね Yahoo 知恵袋



割り算の筆算の方法 大人の学び直し算数 計算のやり方解説 無料



あまりのあるわり算の筆算 2けた 1けた 小学生無料算数学習プリント 無料プリントのぷりんと365



わり算の筆算 4年生の自主学習ノート 家庭学習レシピ



小学4年生の算数 筆算 割り算 割り算の決まり 練習問題プリント ちびむすドリル 小学生



わり算 割り算 の教え方は水道方式でわかりやすく 数学で育ちあう会



算数でプログラミング教育 スクラッチで2桁の割り算の筆算



割り算の筆算 割る数と割られる数から効率的に商を決定するコツ ページ 3 みみずく戦略室



わる数と商の関係 Youtube



がんだれ に曲線の謎のこる 科学技術のアネクドート



3



割り算の筆算のやり方



小4 小数の割り算の筆算のやり方は あまりと答えの小数点は位置が違う 小5 そうちゃ式 分かりやすい図解算数 別館



5年算数 小数 小数 わかる教え方



算数について質問します なぜ4 2のような割り算の割る数と割られる数を両方同 Yahoo 知恵袋



割り算の筆算の方法 大人の学び直し算数 計算のやり方解説 無料



算数に詳しい方に教えて頂けたら嬉しいです 画像の左は子供が解いたも Yahoo 知恵袋



5年算数 小数 小数 わかる教え方



わり算 割り算 の教え方は水道方式でわかりやすく 数学で育ちあう会



あまりが出る小数の割り算の計算手順 小学生に分かりやすく教える方法 数学fun



例題付き 割り算のやり方 教え方をわかりやすく解説 Cocoiro ココイロ Part 2



筆算の割り算入門 余りなし ビデオ 複数桁の割り算 カーンアカデミー



割り算の筆算の方法を教えてください 例 284この様に小さい数を Yahoo 知恵袋



幼児に割り算を教える 改良版



掛け算の順序をめぐって 5月 19



割り算の筆算のやり方



3分でわかる 割り算の筆算のやり方と教え方 かちロジー



割り算の筆算のやり方



5年算数 小数のわり算 2 1より小さい数でわると 商はわられる数より大きくなる Youtube



割り算の筆算の方法 大人の学び直し算数 計算のやり方解説 無料


0 件のコメント:
コメントを投稿